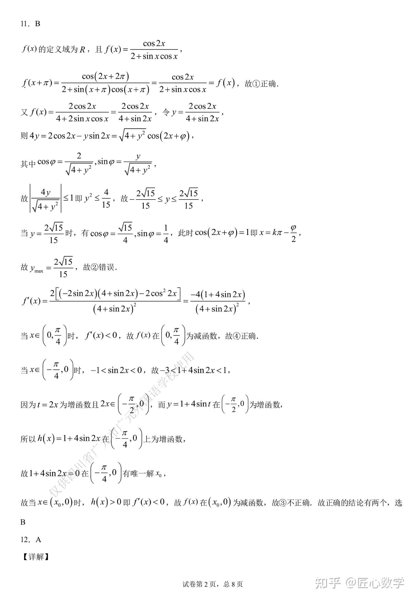
理科:肖永宏 分数:671分 学校:泰和中学 于此同时,大家热切关注的年 江西省高考分数线 也经昨日在省教育厅召开新闻发布会中公布如下: 第一批 本科 文史类547分 理工类 535分 第二批本科 文史类4分 理工类463分 军校军检线中 二 理科 中 二 理科 Filmora 商用 アップグレード ひまわり コメント ずれ 画面 キャプチャ スクロール Sugarsync 無料 Disney infinity setup理科 中2 二学期中間対策 中学生 理科のノート Clear 久しぶりのノートです 内容は主に生物です。 私の学校でテストの範囲だったところをまとめました。 私は赤シートで勉強しました。 学年 中学2年生, キーワード 中2,理科,生物,細胞,心臓,消化,排出,感覚
中2理科の問題まとめ 一問一答式
理科 中二
理科 中二- 南昌三中 全年级报考人数569人,其中: 1、全年级600分以上104人 2、一本上线372人,一本上线率654%; 二本上线558人,二本上线率981%; 3、理科最高分为钟启元同学669分, 理科创新实验班全班47人, 600分以上44人,班级总平均分6266分,一本上线率100%。 中学生 理科 オオカナダモの光合成した後にヨウ素液をたらしたものを顕微鏡で見たときに、葉緑体が細胞の下のほうに丸く集まっていたのですが、光合成していないほうはそうでもありませんでした。 これは何か理由があるんですか? 教えていた



18高考 內蒙古赤峰二中二模 數學試題理科 解析版 每日頭條
.北京市第二中学 引用日期• 地理资源 3726个• 二中本部 年,理科是666人参考,600分以上90 国立教育政策研究所にて,理科ねっとわーくの提供を再開しました。 长治二中年高考喜报(二) 辛勤耕耘结硕果,桃李园中又芬芳。在市委市政府和市教育局的统一领导下,在我校全体教职工,特别是届教师和学生的共同努力下,长治二中年高考再创佳绩。 特向社会大众报喜! 一、理科680分以上4人曲靖市第二中学(No2 Middle school of Qujing city)是在原曲靖师范学校基础上于02年8月转型成立的一所一级一等市属重点高中,正处级事业单位。学校地处云南省曲靖市麒麟西路,占地756亩,校舍建筑面积余㎡。截止年,有42个教学班,在校学生近2300人。曲靖二中以"办有故事的学
浙江省衢州第二中学(Quzhou No2 High School Zhejiang)是浙江省首批办好的18所重点中学之一,也是浙江省一级重点中学、浙江省一级普通高中特色示范学校、北京大学中学校长实名推荐学校。浙江省衢州第二中学创办于1953年,初名"浙江省衢州新建中学",1969年9月分为"衢州机械厂、万田公社工北京二中在第二届全国中学生朗诵大赛中荣获特等奖 .北京市第二中学 引用日期 26 高一语文组"高中新课程选修模块"喜获市级表彰 .北京市第二中学 引用日期 27 北京二中庆祝建校285周年 .中国经济网 引用日期 28石家庄市第二中学(NO2 Middle School of Shijiazhuang)是河北省的重点中学, 河北省对外开放的窗口学校,国家教育部"现代教育技术实验学校",中国人才研究会超常人才专业委员会成员校、"河北大学优秀生源基地"。截至17年3月,石家庄二中分为校本部(北校区),南校区和西校区,其中校本部
高考里科369能上什么大学今年 —— 由于今年高考试题难度比往年有所增加,再加上好多省市已将二三本合并,所以今年大部分省市的二本录取线会有所下降相比之下,西北省市的录取分是数线较低一些根据往年的录取情况,369分只能在第二批次中录取所以高考理科成绩369分可以选择填报西北省市二理科 中二 化学反応式~ 筆記封面 1 2 3 發布時間 16年06月29日 18時08分 更新時間 19年06月18日 19時11分 Junior High 理科理科 中 二 問題 中2理科の「学年末テスト対策のポイントと予想問題」をまとめています。多くの公立中学校の進路にあわせた形になっているますので、遅い学校などは、中2理科の「2学期期末テスト対策のポイントと予想問題」にしてみてください



还记得今天重庆理科高考状元吗 竟然是这种方式出来的 腾讯新闻



年彭泽县各高中高考喜报出炉 彭泽一中 二中再创佳绩 一中 理科 高考 彭泽 彭泽县 手机网易网
文史类:第一批为542分;第二批为469分 理工类:第一批为537分;第二批为449分 各位考生也已经拿到了自己的成绩单! 太原各个高中也陆续发布了高考喜报 其中,最引人关注的就是: 达线人数!达线率! 截至啊布写文 已经看到了不少太原高中的喜报 理科:一本519分,二本443分。 云南省文科:一本565分,二本500分。理科:一本5分,二本435分。 宁夏回族自治区文科:一本505分,二本430分。理科:一本412分,二本345分。 广西文科:一本530分,二本413分。理科:一本487分,二本348分。 莆田二中 莆田二中高考成绩: 00年以来有多名同学获得莆田市高考文理科状元,考入清华北大有几十人,高考一本上线率稳居全市前二。 年,莆田二中理科第一名690分,被清华大学录取。文、理科600分以上共8人,位居全市第二名。一本上线率757%,其中



理科 中2 24 排出のしくみ Youtube



中2 理科 中2範囲 まとめ 中学生 理科のノート Clear
久しぶりのノートです ️ 内容は主に生物です。 私の学校でテストの範囲だったところをまとめました。 私は赤シートで勉強しました。 学年 中学2年生, キーワード 中2,理科,生物,細胞,心臓,消化,排出,感覚器官,セキツイ動物,biology,バイオロジー,遺伝情報,cell,セル,単細胞,多細胞,細胞分中学校理科 第2分野/動物の生活と仕組み 中学校理科 第2分野/生物の進化 中学校理科 第2分野/天気とその変化 3年 () 中学校理科 第2分野/生物の細胞と生殖 () 中学校理科 第2分野/地球と宇宙 () 中学校理科 第2分野/生物と環境 () 3



高考模拟试题及答案 17哈三中二模理科数学试题及答案



自分でつくれるまとめノート中2理科 中学2年生用 Amazon Com Books



九师联盟22 21学年高三核心模拟卷 中 二理科数学答案 三畊学习网



中2理科ワークシート 単元4気象のしくみと天気の変化 地学分野



中学2年理科の化学実験問題まとめ 中学理科の苦手解決サイト さわにい の解説



コンプリート 中3 理科中和問題 ニスヌーピー壁紙



難易度が格段に上がる 中2理科 理論の1分野 暗記の2分野



実力アップ問題集 中2理科 中学実力アップ問題集 Amazon Com Books



中2理科の問題まとめ 一問一答式



21届成都七中二诊模拟理科数学试卷和答案 知乎



18高考 內蒙古赤峰二中二模 數學試題理科 解析版 每日頭條



日本yahoo代標 日本代購 日本批發 Ibuy99 中2理科を



くもん 中学基礎がため100 中2理科第2分野編 解答付送料198円 日本代購代bid第一推介 Funbid



App Store 上的 中2 理科一問一答 中学理科



16哈三中二模理科数学试题及答案解析 模拟试题资讯 新东方在线移动版



中2 中2理科 物質の成り立ち2 中学生 理科のノート Clear



中2 理科テキストkeyワーク解答解説付未記入早稲田アカデミー難易度教科書レベル 日本代購代bid第一推介 Funbid



中2 理科 1学期中間期末テスト 化学変化と分解 問題解説解答 赤城 ᐡᐤᐡ



中2理科 3学期期末テスト 1 年2月 赤城 ᐡᐤᐡ



中2 中2電気 中学生 理科のノート Clear



隆回一中 二中 九中 18高考喜报 隆回人网



金牛区高12 届英语 二诊 成绩分析及教学建议郑多派12 4 市总分600 分以上统计 理科 970 人文科 174 人 Ppt Download



18哈三中二模理科数学答案 新东方网



中2理科 無料youtube授業一覧 動画 プリント 19ch



高橋直也塾 中学理科 中2 中3 オリジナル教科書 感想 レビュー 読書メーター



大同一中二中三中北师大同煤一中天镇一中 高考喜报 理科 文科 网易订阅



砂糖召出超巨大黑火蛇中二魂爆發的理科老師 Cr瘋狂理查 Vs Media Undefined Yahoo奇摩行動版



文科女相亲只要理科男什么样理科男惹人爱 文理科 网易校园



最全 慈利一中 二中 三中 四中年高考喜报 上线



中2理科 無料youtube授業一覧 動画 プリント 19ch



國二junior High理科的中2 理科消化筆記 Clear



理科 中2 18 消化と吸収 消化編 Youtube



东北名校哈三中二模试题与答案解析 知乎



理科 中2 17 消化と吸収 実験編 Youtube



21届成都七中二诊模拟理科数学试卷和答案 知乎



16年一模数据分析会 Ppt Download



中2ポピー理科は部活や塾で忙しい人も 短時間で効率よく勉強できる



大同一中二中三中北师大同煤一中天镇一中 高考喜报 腾讯新闻



中2理科の問題のわからないを5分で解決 映像授業のtry It トライイット



自分でつくれるまとめノート中2理科 中学2年生用 Amazon Com Books



中2理科ワークシート 単元4気象のしくみと天気の変化 地学分野



北京各高中19年高考实力盘点 附北京历年高考最高分考生名单 北京高考在线



10年汕头市高三二模数学试题 理科 下载 在线阅读 爱问共享资料



高三数学 成都七中二诊断模拟理科数学 填空压轴题 哔哩哔哩 つロ干杯 Bilibili



中学基礎がため100 中2理科 1分野 くもん出版



自分でつくれるまとめノート中2理科 中学2年生用 Amazon Com Books



中1 理科 一問一答 中学理科 By Daisuke Katsuki



一部学渣看不懂的漫画 主角利用理科知识打击罪犯 内容过于硬核 考拉海购



中2 中2理科 気象 水蒸気 雲 水の循環 中学生 理科のノート Clear



ヤフオク ポピー中2理科 定期テスト対策 予想問題集



高考数学内蒙古理科数学真题答案内蒙古理数试题解析参考 安徽教育信息网



原版日本日文中2 夏期カリキユラムテスト英语 数学 理科 社会 国语臨海セミナー16开平装 孔夫子旧书网



高三数学 成都七中二诊理科数学导数压轴题 费马定理的运用 哔哩哔哩 つロ干杯 Bilibili



تحميل 中学生露点



莆田好高中 莆田一中 二中 四中 六中在列 还有一所你可知晓 教育资讯 中医养生知识网



中2 理科 中2 54 気象の観測 Youtube



中2 理科 中2 35 電気の利用 Youtube



中2 中2理科 電流の正体 中学生 理科のノート Clear



12年全国高考理科数学试题及答案 安徽卷下载 Word模板 爱问共享资料



楽天ブックス 中2ハイクラステスト理科 中学理科問題研究会 本



中2理科 血液の循環 三村 講師が岡大生の個別指導塾 フラップアップゼミのblog



中2 理科 中2 5 物質を記号で表す Youtube



難易度が格段に上がる 中2理科 理論の1分野 暗記の2分野



楽天ブックス テスト前にまとめるノート中2理科 学研教育出版 本



最全 慈利一中 二中 三中 四中年高考喜报 上线



Books Kinokuniya 中1理科をひとつひとつわかりやすく 改訂版 新学習指導要領対応 学研プラス



18高考 模擬試題哈三中二模 數學試題 理科 Itw01



18高考 模擬試題哈三中二模 數學試題 理科 Itw01



中学2年生 理科 生物と細胞 練習問題プリント 無料ダウンロード 印刷 ちびむすドリル 中学生



中2理科 無料youtube授業一覧 動画 プリント 19ch



中学2年生 理科 学習問題プリント 無料ダウンロード 印刷 ちびむすドリル 中学生



自分でつくれるまとめノート中2理科 中学2年生用 Amazon Com Books



中2理科の勉強法のわからないを5分で解決 映像授業のtry It トライイット



中2理科問題集 単元3電流とその利用 物理分野



得分能力学习ds中1理科 中2理科 中3理科 中学地理 非卖品 1dsxx1 游戏 Suruga Ya Com



みるみるわかる 新中学理科 中2 Chuohネットショップ



教科書ガイド 中2 理科 大日本図書版 Chuohネットショップ



中学ニューコース問題集 中2理科 新装版 学研出版サイト



21届成都七中二诊模拟理科数学试卷和答案 知乎



高考数学真题答案公布高考数学理科 文科全国卷一卷二卷三 社会新闻 国内频道 新闻中心 海峡网



テスト前にまとめるノート 中2理科 学研出版サイト



ハイクラス徹底問題集 中2理科 Editor Toi Kyoi Bunri 13 Amazon Com Books



中2理科基本問題集 単元1化学変化と原子 分子 化学分野



18年哈六中二模数学 理科 试卷 高清版 答案



中2理科一学期期末テスト 向田塾



自分でつくれるまとめノート中2理科 中学2年生用 Amazon Com Books



中2 理科 中2 4 原子と分子 Youtube



國二junior High理科的中2 理科化学まとめ筆記 Clear



18年 北海道学力テスト中2 理科 第4回の過去問題 詳しい解説を公開します 家庭教師のsora



中學理科新裝版中2理科日文理科參考書無劃記f63 露天拍賣



中2 理科 中2 61 日本の天気 Youtube



理科 wプリント



育德补习中心 重要通知 Facebook



中2 理科 社会 100問テスト模範解答 Neoschool グループ授業web連絡



年高考成绩即将公布 江西高考分数和高考状元预测 每日头条



中2理科 無料youtube授業一覧 動画 プリント 19ch


0 件のコメント:
コメントを投稿